
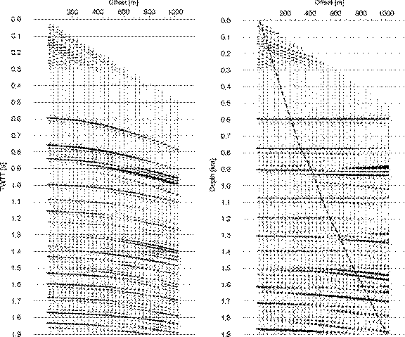
A synthetic CMP seismic gather before (left) and after (right) NMO correction. The dashed line shows points of constant ray parameter. The synthetics and ray-parameter modeling also performed in the IGeoS package.

Common-angle and ray-parameter gathers for Elastic Impedance inversion

Exact (Zoepritz) ray-path impedances for oil and gas reservoir cases.
Back to SIA